偏微分方程数学建模
引言
实际问题 - 确定性问题:1)连续问题 2)离散问题 - 随机性问题
对于连续问题,可以用常微分方程模型也可以用偏微分方程模型
偏微分方程模型
常见的模型
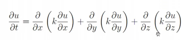
- 1)热传导方程
研究热量,温度的变化情况
也可以描述分子扩散的情况
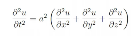
- 2)波动方程
橡皮筋的波动
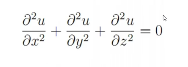
- 3)调和方程
温度不随时间变化而变化
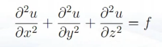
Poisson 方程
引入热源
偏微分方程的类型
- 热传导方程——抛物线方程
- 波动方程——双曲线方程
- 调和方程——椭圆形方程
模型的建立——微元法
时间微元:[t,t + delta t]
空间微元:w=[x,x+ delta x] × [y,y+ delta y] × [z,z+ delta z]
Fourier热传导定律
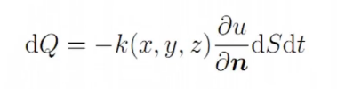
在时间微元dt内沿面积微元dS的法线方向n流过此面积微元的热量为:
梯度即表示与两边温度差成正比
k为热传导系数
统一空间和时间积分:

热量守恒定律
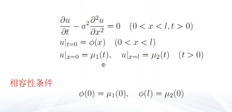
定解条件
初始条件:t=0;u=phi(x,y,z)
边界条件
- Dirichlet 边界条件(第一类边界条件)
u(t,x)=myu,myu为边界上的温度
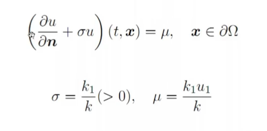
- Neumann边界条件(第二类)
- Robin边界条件(第三类)
理论上来说,给了一种边界条件,那么存在解是唯一的,其他两条边界条件不能随便给。
数值计算
偏微分方程的数值计算方法:
- 有限差分法
- 有限元素法
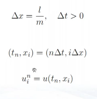
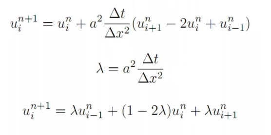
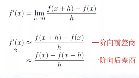
有限差分法就是用差商代替导数,从而将微分方程转换为代数方程组的一种数值计算方法。
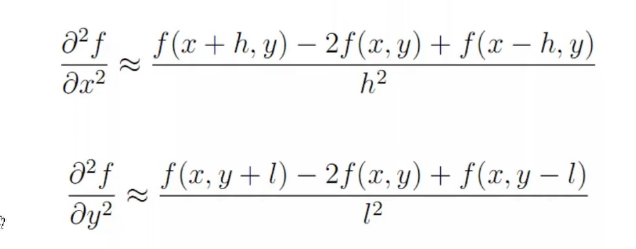
偏微分二阶差商:
举例:





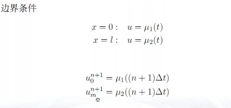
利用边界条件 
条件稳定:
如果不想受条件稳定限制: 
我们for(i=1;i<n;i++)得到n-1个方程,n+1个变量
所以,我们选择增加方程来求解,即边界条件的方程。
线性方程组求解
高斯消去
LU分解
计算量: - 分解过程O(n^3) - 回代过程O(n^2)
追赶法
三对角线性方程组
O(n)
赛题
2018A
本博客所有文章除特别声明外,均采用 CC BY-NC-SA 4.0 许可协议。转载请注明来自 Shouei的Blog!
评论





















